TUGAS PENDAHULUAN (MODUL 4)
[KEMBALI KE MENU SEBELUMNYA]1. Kondisi [kembali]
Rangkaian ini merupakan rangkaian inverting yang menggunakan op-amp. Rangkaian ini inverting karena sumber tegangannya masuk menuju input negatif. Rangkaian ini menggunakan op-amp, resistor sebesar 2.2k sebanyak 2 buah, VCC 12V dan VEE -12V serta dengan Vin -3V. Rangkaian penguat inverting merupakan rangkaian elektronika yang berfungsi untuk memperkuat dan membalik polaritas sinyal masukan, yang dapat dilihat dengan tegangan sumber yang terhubung ke pin minus.
Pada komponen op-amp terdapat kaki input dan output, pada input impendasinya besar sehingga arus tidak masuk sedangkan pada output impendasinya kecil sehinggi arus menuju ke output.
Prinsip kerja rangkaian ini yaitu saat ada tegangan input yang menjadi masukan non inverting op amp arus akan mengalir pada R1 lalu arus akan mengalir ke R2, impedansi pada kaki non inverting lebih besar sehingga arus akan mengalir ke R2. Sehingga rangkaian akan berbentuk rangkaian seri. Lalu arus akan mengalir ke kaki output karena impedansi nya lebih kecil.
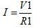
Cara menghitung arus pada R1 dan R2 :
Saat arus melewati R2 maka arus tidak mengalir pada pin 2 dikarekanan impedansi yang tinggi sehingga menyebabkan nilai I pada R2 sama karena seri dengan R1
Lalu arus mengalir ke kaki output karena impedansi nya lebih kecil. Tegangan output yang dihasilkan diperoleh dari rumus :
Pada rangkaian ini tegangan output yang dihasilkan sebesar +3 V. Fungsi VCC dan VEE pada op-amp adalah sebagai batasan. Jika tegangan output lebih besar atau lebih kecil dari VCC dan VEE maka nilai Vout nya akan dipotong sesuai dengan batasannya.





No comments:
Post a Comment